White Hair Gene

Human Hair Color Wikipedia

Human Hair Color Wikipedia

My Albino Children Will Be Stars Mother Won T Let Son And

My Albino Children Will Be Stars Mother Won T Let Son And

Thinkrich Ho Juby Gene Hair Mascara Natural Brown 15ml Hair Dye

Thinkrich Ho Juby Gene Hair Mascara Natural Brown 15ml Hair Dye

Can Your Hair Turn White Overnight Howstuffworks

Can Your Hair Turn White Overnight Howstuffworks

Red Hair Blue Eyes How Common Is The Genetic Combination

Red Hair Blue Eyes How Common Is The Genetic Combination

Male Pattern Baldness Causes And Treatment

Male Pattern Baldness Causes And Treatment

What Causes Albinism Scientific American

What Causes Albinism Scientific American

A White Forelock Or The Mallen Streak Is Caused By A Defiencey

A White Forelock Or The Mallen Streak Is Caused By A Defiencey

Pin On Literacy Autobiography Eng 101

Pin On Literacy Autobiography Eng 101

The Origin Of White Skin Blue Eyes Blond Hair Page 1

The Origin Of White Skin Blue Eyes Blond Hair Page 1

Thyroid Gland Hair Loss How To Tell If You Have Hair Loss Gene C

Thyroid Gland Hair Loss How To Tell If You Have Hair Loss Gene C

How The Stress Of Fight Or Flight Turns Hair White

How The Stress Of Fight Or Flight Turns Hair White

Human Hair Color Wikipedia

Human Hair Color Wikipedia

Can Grey Or White Hair Turn Black Again Naturally Hairshepherd

Can Grey Or White Hair Turn Black Again Naturally Hairshepherd

White Hair Causes And Prevention

White Hair Causes And Prevention

Going Grey Already Don T Blame Stress It S In Your Genes

Going Grey Already Don T Blame Stress It S In Your Genes

6 Effective Home Remedies For White Hair Ndtv Food

6 Effective Home Remedies For White Hair Ndtv Food

White Hair Causes And Prevention

White Hair Causes And Prevention

Piebaldism Symptoms Treatment And Outlook

Piebaldism Symptoms Treatment And Outlook

Hr Gene Genecards Hair Protein Hair Antibody

Hr Gene Genecards Hair Protein Hair Antibody

Gene Sarcinello Takamichi Hair

Gene Sarcinello Takamichi Hair

Platinum Almost White Hair Art Study Skin Tones Notes Apr

Platinum Almost White Hair Art Study Skin Tones Notes Apr

Solved 11 9 Pts Hair Color In Trolls Is Only Produced

Solved 11 9 Pts Hair Color In Trolls Is Only Produced

Why Do White People Have Black Brown Blond And Even Red Hair

Why Do White People Have Black Brown Blond And Even Red Hair

Why Does Hair Turn Gray Library Of Congress

Why Does Hair Turn Gray Library Of Congress

Redheads Will You Go White Or Gray The Answer And Why

Redheads Will You Go White Or Gray The Answer And Why

Most Genetic Studies Use Only White Participants This Will Lead

Most Genetic Studies Use Only White Participants This Will Lead

Cross Gene Black Or White Mv Theory K Pop Amino

Cross Gene Black Or White Mv Theory K Pop Amino

What Color Hair Will My Baby Have A Genetic Explanation

What Color Hair Will My Baby Have A Genetic Explanation

First Gene For Grey Hair Found Ucl News Ucl London S Global

First Gene For Grey Hair Found Ucl News Ucl London S Global

Scientists Have Discovered What Causes Grey Hair And Baldness

Scientists Have Discovered What Causes Grey Hair And Baldness

Albinism Symptoms Causes And Diagnosis

Albinism Symptoms Causes And Diagnosis

Search Q Rare Human Hair Color Tbm Isch

Search Q Rare Human Hair Color Tbm Isch

Gray Hair At 25 Yes Here S What You Can Do Wellness Us News

Gray Hair At 25 Yes Here S What You Can Do Wellness Us News

Mutant Big Cats

Mutant Big Cats

Gene Tierney Portrait In White Dress With White Background Photo

Gene Tierney Portrait In White Dress With White Background Photo

Toddler Has Wild Cloud Of White Hair Then Doctors Realize It S

Toddler Has Wild Cloud Of White Hair Then Doctors Realize It S

Mom Freaks When 2 Yr Old S Hair Turns White But Doctors Reveal

Mom Freaks When 2 Yr Old S Hair Turns White But Doctors Reveal

Premature Graying Or White Hair In Kids Causes Prevention

Premature Graying Or White Hair In Kids Causes Prevention

Premature Graying Or White Hair In Kids Causes Prevention

Premature Graying Or White Hair In Kids Causes Prevention

Gray Hair Causes And Fixes Touch Ups Natural Coloring Tips

Gray Hair Causes And Fixes Touch Ups Natural Coloring Tips

Gene Expression Profiles Of Isolated Hair Follicles Analyzed By

Gene Expression Profiles Of Isolated Hair Follicles Analyzed By

Women White Skin Lovely Brown Hair Stock Photo Edit Now 1329068066

Women White Skin Lovely Brown Hair Stock Photo Edit Now 1329068066

Uncombable Hair Syndrome Black Hair

Uncombable Hair Syndrome Black Hair

Women White Skin Lovely Brown Hair A Small Woman Red Lips Wearing

Women White Skin Lovely Brown Hair A Small Woman Red Lips Wearing

Race Differences In Hair Types

Race Differences In Hair Types

Human Hair Color Wikipedia

Human Hair Color Wikipedia

Neanderthal Hair Color The Mc1r Gene Regulates Pigmentation In

Neanderthal Hair Color The Mc1r Gene Regulates Pigmentation In

White Hair Causes And Prevention

White Hair Causes And Prevention

Reverse Gray Hair 20 Nutrients Vitamins Supplements Herbs More

Reverse Gray Hair 20 Nutrients Vitamins Supplements Herbs More

Facts And Myths About Red Hair Ginger Parrot

Facts And Myths About Red Hair Ginger Parrot

Albinism In Humans Wikipedia

Albinism In Humans Wikipedia

A Thick Head Of Hair Is In The Genes Science Aaas

A Thick Head Of Hair Is In The Genes Science Aaas

Incomplete Dominance And Codominance Problems

Incomplete Dominance And Codominance Problems

Https Encrypted Tbn0 Gstatic Com Images Q Tbn 3aand9gcq7wgic Ti7 Gpvjzvi7ahd6cqucuiae T Y Lwkhccby8judxo

Https Encrypted Tbn0 Gstatic Com Images Q Tbn 3aand9gcq7wgic Ti7 Gpvjzvi7ahd6cqucuiae T Y Lwkhccby8judxo

British Scientists Have Identified The Gene That Turns Hair Grey

British Scientists Have Identified The Gene That Turns Hair Grey

Why Your Beard Is Red Even If Your Hair Isn T Gq

Why Your Beard Is Red Even If Your Hair Isn T Gq

1582498998000000

1582498998000000

Blond Wikipedia

Blond Wikipedia

Better Call Saul Creators Say Walter White Could Be Alive In Gene

Better Call Saul Creators Say Walter White Could Be Alive In Gene

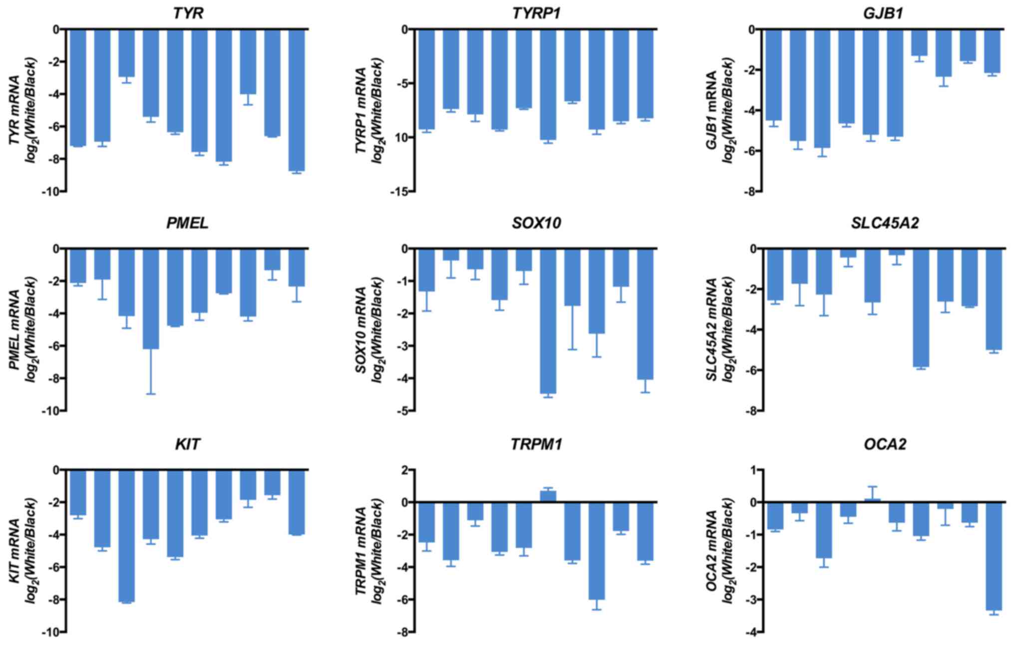
Global Downregulation Of Pigmentation Associated Genes In Human

Global Downregulation Of Pigmentation Associated Genes In Human

Solved 7 11 Pts Hair Color In Trolls Is Only Produced

Solved 7 11 Pts Hair Color In Trolls Is Only Produced

Global Downregulation Of Pigmentation Associated Genes In Human

Global Downregulation Of Pigmentation Associated Genes In Human

This Adorable Toddler Has Uncombable Hair Syndrome And It S A

This Adorable Toddler Has Uncombable Hair Syndrome And It S A

Poliosis Causes Symptoms And Treatment

Poliosis Causes Symptoms And Treatment

Cross Gene Drops More Choreography Heavy Video For Black Or White

Cross Gene Drops More Choreography Heavy Video For Black Or White

This Adorable Toddler Has Uncombable Hair Syndrome And It S A

This Adorable Toddler Has Uncombable Hair Syndrome And It S A

Woman Hand With Blood Veins Isolated On White Background Finger

Woman Hand With Blood Veins Isolated On White Background Finger

Scientists Figured Out Why Stress Turns Your Hair Gray

Scientists Figured Out Why Stress Turns Your Hair Gray

Solved 20 23 In Rabbits Grey Hair Is Dominant To White H

Solved 20 23 In Rabbits Grey Hair Is Dominant To White H

What Gray Hair Says About Your Health Mnn Mother Nature Network

What Gray Hair Says About Your Health Mnn Mother Nature Network

Uncombable Hair Syndrome Condition Gives Girl Unruly Mane

Uncombable Hair Syndrome Condition Gives Girl Unruly Mane

Tsuruha Ho Juby Gene Speedy Color Emulsion White Hair Use No

Tsuruha Ho Juby Gene Speedy Color Emulsion White Hair Use No

Solved In Cats The B Gene Controls Hair Color The Domin

Solved In Cats The B Gene Controls Hair Color The Domin

Opinion The College Cheating Scandal Proves Mediocrity Is The

Opinion The College Cheating Scandal Proves Mediocrity Is The

Waardenburg Syndrome Wikipedia

Waardenburg Syndrome Wikipedia

Analysis Of Relative Hair Color Gene Expression For Evidence Of A

Analysis Of Relative Hair Color Gene Expression For Evidence Of A

Ashton Drake Gene Pierrette Pink Hair Blue Eyes Black White Gown

Ashton Drake Gene Pierrette Pink Hair Blue Eyes Black White Gown

Human Hair Color Wikipedia

Human Hair Color Wikipedia

Revolution Gray It 39 S Not Just A Hair Color It 39 S A

Revolution Gray It 39 S Not Just A Hair Color It 39 S A

Solved 0 23 In Rabbits Grey Hair Is Dominant To White H

Solved 0 23 In Rabbits Grey Hair Is Dominant To White H

Regulated Genes That Have A Role In Melanocyte Biology Download

Regulated Genes That Have A Role In Melanocyte Biology Download

Why Does Hair Turn Gray Harvard Health Blog Harvard Health

Why Does Hair Turn Gray Harvard Health Blog Harvard Health

Free Images Person Black And White Woman Model Fashion Lady

Free Images Person Black And White Woman Model Fashion Lady

What Are The Chances Of Having Red Hair And Green Eyes

What Are The Chances Of Having Red Hair And Green Eyes

Red Hair Gene Stock Photos Red Hair Gene Stock Images Alamy

Red Hair Gene Stock Photos Red Hair Gene Stock Images Alamy

Women White Skin Lovely Brown Hair Stock Photo Edit Now 1329068042

Women White Skin Lovely Brown Hair Stock Photo Edit Now 1329068042

Genetics Problem Ap

Genetics Problem Ap

Scientists Discover Why Stress Turns Hair White Bbc News

Scientists Discover Why Stress Turns Hair White Bbc News

Generations Jun Komori First Gene Pro With Black Hair After

Generations Jun Komori First Gene Pro With Black Hair After

Human Hair Color Wikipedia

Human Hair Color Wikipedia

Library Of Band Kiss Hair Svg Black And White Download Black And

Library Of Band Kiss Hair Svg Black And White Download Black And

Scientists Discover Why Stress Turns Hair White Bbc News

Scientists Discover Why Stress Turns Hair White Bbc News

Not To The Old White Hair Daily Life To It Not Afraid Of Hair

Not To The Old White Hair Daily Life To It Not Afraid Of Hair

What Color Hair Will My Baby Have How To Tell

What Color Hair Will My Baby Have How To Tell

1581930604000000

1581930604000000

Hair Tshirt Gene Hunt Sam Tyler Anvil Adult Triblend Tshirt

Hair Tshirt Gene Hunt Sam Tyler Anvil Adult Triblend Tshirt

Human Hair Color Wikipedia

Human Hair Color Wikipedia